冻土未冻水形成机制和建模研究获新进展
发表日期:2025-11-21来源:高原大气物理研究室
放大缩小
冻土中的未冻水变化是土体水-热-力耦合过程的重要内容。现有的未冻水理论模型主要基于土水势理论,其表征基质势、含水量关系的土水特征曲线存在显著个体差异,且缺乏以土壤物理性质为基础的参数化方案,制约了未冻水模型的参数化与推广应用。
中国科学院西北生态环境资源研究院高晓清研究员科研团队对冻土未冻水(主要是结合水)与电解质溶液的同源性研究表明,冻土中复杂的相变过程与“盐水冰点低于0℃”“公路撒盐除冰”等日常现象具有相同的理化机制。通过将电解质溶液相变机制与双电层理论相结合,构建了冻土未冻水理论模型,定量刻画了土壤盐分(溶液浓度、溶质种类及比例)、表面电荷密度、温度以及土壤类型(比表面积)等因素对未冻水含量的影响,克服了传统土水势模型难以实现物理参数化的固有局限。
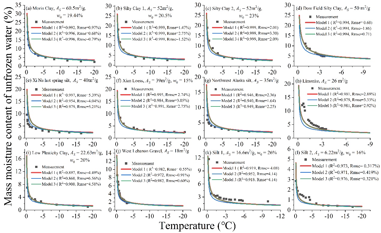
此外,研究推导出三种不同形式的未冻水模型表达式,不仅在统一的理论框架下涵盖了十余种半经验模型,而且为这些半经验公式提供了清晰的物理机制和参数对应关系,有助于厘清不同模型之间的差异及其适用条件,降低模型选择和参数标定的不确定性,并为冻土水–热–力耦合数学模型中水-冰相变过程提供了参数化基础。
相关研究成果以Parameterized modeling of unfrozen water in frozen soil based on the freezing characteristics of multicomponent cation solutions and the electrical double‐layer theory of clay colloids为题,发表于国际权威期刊Water Resources Research。该研究得到中国科学院基础与交叉前沿科研先导专项、国家自然科学基金等的资助。
论文链接:
https://agupubs.onlinelibrary.wiley.com/doi/full/10.1029/2025WR040886

结合水和毛细水成赋存形态和形成机制示意图

冻土结合水冻结过程示意图

三种未冻水参数化模型结果
附件
扫一扫在手机浏览



