青藏高原湖泊沉积物中黑碳历史记录研究取得新进展
发表日期:2019-05-09来源:
放大缩小
由化石燃料和生物质不完全燃烧产生的黑碳(BC)是仅次于CO2的大气升温因子,对全球气候变化具有重要影响。由于主要依附于细颗粒物存在,BC能在大气环流作用下进行长距离传输,从而对偏远地区的大气、雪冰及生态等造成影响。湖泊沉积物是研究BC传输、沉降及区域气候变化并重建BC历史排放的良好介质。尤其在青藏高原,由于毗邻南亚、中亚等重排放区,长距离传输可能是青藏高原湖泊沉积物中BC等污染物的主要来源之一,但目前在青藏高原相关的研究还非常缺乏。针对该问题,中国科学院西北生态环境资源研究院冰冻圈科学国家重点实验室康世昌团队及其合作者对青藏高原6个湖泊(图1)沉积物中BC的含量、通量及来源等进行了检测分析。
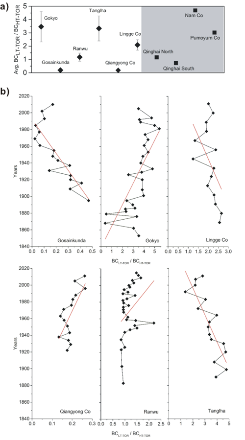
研究表明,喜马拉雅山南坡两个湖泊沉积物中BC含量差异较大,这主要受当地宗教活动等影响;青藏高原内陆四个湖泊沉积物中BC的平均含量为1.28±0.62 mg g-1,这与青藏高原其他湖泊的研究相当,但远低于中国其他区域湖泊沉积物中BC含量。沉积物中BC含量呈现明显的时间变化趋势(图2),在1900s之前BC含量保持较低水平,之后逐渐升高,在1950s后,BC含量明显增加,这与1850-2000年间南亚地区BC排放的变化趋势一致。喜马拉雅山南坡和青藏高原内部湖泊沉积物中BC的沉积通量分别为1.40±1.83 g m-2 y-1和2.98±3.33 g m-2 y-1,也呈现明显的时间变化趋势(图2),表明青藏高原周边尤其是南亚地区BC的排放量在不断增加。根据BC不同组分对其进行来源解析(图3),结果表明生物质燃烧是青藏高原湖泊沉积物中BC的主要来源,除人类活动排放影响外,南亚、东南亚频频爆发的森林火灾的影响也不容忽视。同时,不同湖泊的沉积速率和流域内冰川加速消融也是影响BC向湖泊输入的重要因素。
该成果对于进一步认识青藏高原湖泊沉积物中BC的含量水平、来源解析等具有重要意义。同时也为周边区域排放污染物向青藏高原地区的传输及沉降研究提供数据支持,并为国际间的BC减排合作提供指导。
该研究近期在Environmental Science & Technology在线发表,合作单位有青藏高原地球科学卓越创新中心、中国科学院青藏高原研究所、印度贝纳勒斯大学和尼泊尔特里布万大学等。该研究由中国科学院战略性先导科技专项(XDA20040501)、前沿科学重点研究项目(QYZDJ-SSW-DQC039)以及基金委重点基金(41630754)资助。
(责任编辑 陈治理)

图 1. 研究区调查湖泊空间分布

图 2. 研究区不同湖泊沉积物中BC含量(mg/g)及通量(g m-2y-1)的历史变化

图 3. 不同湖泊沉积物中BCLT-TOR/BCHT-TOR 比值 (a) 及变化趋势(b)
附件
扫一扫在手机浏览



